Wageningen University & Research | FEM-31806 | Models for Ecological Systems | FEM | PPS | WEC
First make a copy of the script you created on Day 2 to implemented the model (or, copy the solution of the implementation of the model from the solution to day 2, and then continue with the exercises below.
Probably you have already separated parameters between those that are true constants (e.g. molar weights, physical properties etc.), those that are more or less invariable or are measured with great precision and therefore hard coded in the parameter list, and those that are highly uncertain and/or can vary a lot in different scenarios. The latter are in this course typically defined per scenario and given as input arguments to the function creating a named vector with parameter values, or as a defined list in input scenario-specific input files for other models.
Select three parameters for sensitivity analysis. Run both a sensitivity analysis (sensu stricto), and also an elasticity analysis, which is a normalized version of sensitivity (see textbook and lectures for differences). Run the model three times (150 years) but with different parameter values: at the default parameter value, at the default parameter value -10%, and at the default parameter value +10%. Study the effects of these parameter values for the state variables: BC1 and BC2. Visualize by plotting the results. For visualization you can first best plot the state variable(s) of interest against time (possibly with multiple scenarios in a single plot; a separate line for each scenario). Moreover, you can opt for a barplot showing the sensitivity and elasticity index values for the parameters.
Give the options to validate your model.
What data would you need?
Download here the code as shown on this page in a separate .r file.
The function returning a named vector with parameter values:
ParmsNUCOM <- function(
### Inputs from outside into the system
# Nitrogen from atmospheric deposition
NDEPCO = 2.0, # gN / (m2 * year)
# Imported carbon from seeds from outside the considered field
SEEDC1 = 10.0, # gC / (m2 year)
SEEDC2 = 10.0, # gC / (m2 year)
# Imported nitrogen from seeds from outside the considered field
SEEDN1 = 0.2, # gN / (m2 year)
SEEDN2 = 0.2, # gN / (m2 year)
### System parameter values
# Nitrogen concentration in species 1 and 2
NCONC1 = 0.02, # gN / gC
NCONC2 = 0.02, # gN / gC
# Maximum growth rate of species 1 and 2
GMAX1 = 300.0, # gC / (m2 year)
GMAX2 = 900.0, # gC / (m2 year)
# Relative mortality rates of species 1 and 2
MORT1 = 0.6, # (g/year) / g or 1/year
MORT2 = 0.9, # (g/year) / g or 1/year
# Relative decay rates of species 1 and 2
DECAY1 = 0.1, # (g/year) / g or 1/year
DECAY2 = 0.3, # (g/year) / g or 1/year
# Carbon en nitrogen concentrations of the micro-organisms
CCONMO = 0.5, # gC / g biomass
NCONMO = 0.05, # gN / g biomass
# Assimilation efficiency of the micro-organisms
EFFMO = 0.2 # gCbuilt in into Biomass / gC liberated from soil organic matter
) {
# Gather parameters in a named vector
y <- c(NDEPCO = NDEPCO,
SEEDC1 = SEEDC1, SEEDC2 = SEEDC2,
SEEDN1 = SEEDN1, SEEDN2 = SEEDN2,
NCONC1 = NCONC1, NCONC2 = NCONC2,
GMAX1 = GMAX1, GMAX2 = GMAX2,
MORT1 = MORT1, MORT2 = MORT2,
DECAY1 = DECAY1, DECAY2 = DECAY2,
CCONMO = CCONMO,
NCONMO = NCONMO,
EFFMO = EFFMO)
# Return
return(y)
}
The function returning a named vector with initial values of the 8 state variables:
InitNUCOM <- function(
# For the vegetation
BC1 = 25.0, # gC in Veg.1 / m2
BC2 = 25.0, # gC in Veg.2 / m2
BN1 = 0.5, # gN in Veg.1 / m2
BN2 = 0.5, # gN in Veg.2 / m2
# For the soil
SC1 = 25.0, # gC from Veg.1 / m2
SC2 = 25.0, # gC from Veg.2 / m2
SN1 = 0.5, # gN from Veg.1 / m2
SN2 = 0.5 # gN from Veg.2 / m2
){
# Gather initial conditions in a named vector; given names are names for the state variables in the model
y <- c(BC1 = BC1, BC2 = BC2,
BN1 = BN1, BN2 = BN2,
SC1 = SC1, SC2 = SC2,
SN1 = SN1, SN2 = SN2)
# Return
return(y)
}
The function computing the rates of change of the state variables with respect to time:
RatesNUCOM <- function(t, y, parms) {
# use the with() function to be able to access the parameters and states easily
# remember that the with() function is with(data, expr), where
# - 'data' is ideally a list with named elements
# thus: 'y' and 'parms' are combined using function c and converted using function as.list
# - 'expr' is an expression (i.e. code) that is evaluated
# this can span multiple lines of code when embraced with curly brackets {}
with(
as.list(c(y, parms)),{
### Optional: forcing functions: get value of the driving variables at time t (if any)
### Optional: auxiliary equations
# Litter production of both species in terms of Carbon and Nitrogen
LITPC1 <- BC1 * MORT1
LITPC2 <- BC2 * MORT2
LITPN1 <- BN1 * MORT1
LITPN2 <- BN2 * MORT2
# Decomposition of soil organic matter in terms of carbon and nitrogen
# DECOM is the net carbon production, lost as CO2-C from the system
DECOM1 <- SC1 * DECAY1 * (1.0 - EFFMO)
DECOM2 <- SC2 * DECAY2 * (1.0 - EFFMO)
# Definition of details of overall input-output rate equations
# Mineralisation of Nitrogen
MINER1 <- DECAY1 * SC1*( (SN1/SC1) - (NCONMO/CCONMO)*EFFMO )
MINER2 <- DECAY2 * SC2*( (SN2/SC2) - (NCONMO/CCONMO)*EFFMO )
MINTOT <- MINER1 + MINER2
# Nitrogen supply to (N-deposition) the system
NDEP <- NDEPCO
NAVAIL <- NDEP + MINER1 + MINER2
# Growth rates of both species
NLIMG1 <- ( BC1/(BC1 + BC2) ) * NAVAIL/NCONC1
LLIMG1 <- ( BC1/(BC1 + BC2) ) * GMAX1
ACTGC1 <- pmin(NLIMG1 , LLIMG1)
NLIMG2 <- ( BC2/(BC1 + BC2) ) * NAVAIL/NCONC2
LLIMG2 <- ( BC2/(BC1 + BC2) ) * GMAX2
ACTGC2 <- pmin(NLIMG2 , LLIMG2)
# Therefore, CO2 evolution is calculated per species and in total as:
CO21DT <- DECOM1
CO22DT <- DECOM2
# TOTCO2 = CO21 + CO22
# Nitrogen uptake rates of both species
NUPT1 <- ACTGC1 * NCONC1
NUPT2 <- ACTGC2 * NCONC2
# Nitrogen loss (Leaching) from the system
LEACH <- NAVAIL - NUPT1 - NUPT2
### Rate equations
DBC1DT <- ACTGC1 - LITPC1 + SEEDC1
DBC2DT <- ACTGC2 - LITPC2 + SEEDC2
DBN1DT <- NUPT1 - LITPN1 + SEEDN1
DBN2DT <- NUPT2 - LITPN2 + SEEDN2
DSC1DT <- LITPC1 - DECOM1
DSC2DT <- LITPC2 - DECOM2
DSN1DT <- LITPN1 - MINER1
DSN2DT <- LITPN2 - MINER2
### Gather all rates of change in a vector
# - the rates should be in the same order as the states (as specified in 'y')
# - it can be a named vector, but does not need to be
RATES <- c(DBC1DT = DBC1DT,
DBC2DT = DBC2DT,
DBN1DT = DBN1DT,
DBN2DT = DBN2DT,
DSC1DT = DSC1DT,
DSC2DT = DSC2DT,
DSN1DT = DSN1DT,
DSN2DT = DSN2DT)
### Optional: get in/out flow used to compute mass balances (or set MB <- NULL)
# not included here (thus here use MB <- NULL), see template 3
MB <- NULL
### Optional: gather auxiliary variables that should be returned (or set AUX <- NULL)
# - this should be a named vector or list!
AUX <- NULL
# Return result as a list
# - the first element is a vector with the rates of change (in the same order as 'y')
# - all other elements are (optional) extra output, which should be named
outList <- list(c(RATES, # the rates of change of the state variables (same order as 'y'!)
MB), # the rates of change of the mass balance terms (or NULL)
AUX) # optional additional output per time step
return(outList)
})
}
With these 3 functions now defined, the NUCOM mini-model has been
implemented in R code, and the model can now numerically be solved using
the ode function from the deSolve package.
Here, let’s solve the model for 3 different values of parameter
NCONC1: first for its default value (0.02; solved model
stored in states), then when increasing it by 10% (solved
model stored in statesHI), and then when decreasing it with
10% (solved model stored in statesLO).
states <- ode(y = InitNUCOM(),
times = seq(from=0, to=150, by=1),
func = RatesNUCOM,
parms = ParmsNUCOM(NCONC1 = 0.02),
method = "ode45")
statesHI <- ode(y = InitNUCOM(),
times = seq(from=0, to=150, by=1),
func = RatesNUCOM,
parms = ParmsNUCOM(NCONC1 = 1.1*0.02),
method = "ode45")
statesLO <- ode(y = InitNUCOM(),
times = seq(from=0, to=150, by=1),
func = RatesNUCOM,
parms = ParmsNUCOM(NCONC1 = 0.9*0.02),
method = "ode45")
We can show these different scenarios:
plot(states, statesHI, statesLO)

where the black line is the default value for NCONC1,
the red line is the high value (10% increase), and the green line shows
the simulation for the value reduced by 10%.
We can now calculate the sensitivity index (SI) and elasticity index
(EI) of the parameter NCONC1 on state BC1 at
the end of the simulation:
deltaState = statesHI[nrow(statesHI),"BC1"] - statesLO[nrow(statesHI),"BC1"]
deltaParm = 0.1*0.02
SI = deltaState / (2*deltaParm)
SI
## BC1
## -84468.17
EI = (deltaState/states[nrow(states),"BC1"]) / ((2*deltaParm) / 0.02)
EI
## BC1
## -51.1956
This approach can be repeated for the other parameters and both state variables. Repeating the same procedure for all parameters and all state variables yields the following elasticity indices:
### Settings for sensitivity analysis
# Settings for integration: initial conditions, parameters, output times and method
inits <- InitNUCOM()
parms <- ParmsNUCOM()
times <- seq(from=0, to=150, by=1)
method <- "ode45"
# the parameters to compute sensitivity indices for
sensiParms <- names(parms)
# the state for which we want the sensitivity index
stateName <- "BC1"
# the fraction by which each parameter is changed
changeFraction <- 0.1 # 10%
# time(s) for which we want to compute the sensitivity/elasticity indices
evalTime <- max(times)
### Perform sensitivity analysis
# Create data.frame to hold the output for each state in "sensiParms" and time in "evalTime" (stateDiff)
stateDiff <- data.frame(time = evalTime)
stateDiff[,stateName] <- NA # Column for the value of the state given the unchanged parameters
stateDiff[,sensiParms] <- NA # Column(s) for the difference in state values given changes in parameters
# Create empty vectors to hold the parameter differences (parmDiff)
parmDiff <- parms[sensiParms] # this makes of copy of the named parameter vector
parmDiff[] <- NA # This sets all elements within the vector to value NA
# Update the times vector with the value of evalTime (so that any evalTime is possible)
times <- sort(unique(c(times, evalTime)))
# In a 'for'-loop with iterator "i" (which values specfied by 'sensiParms'):
# - create 2 copies of 'parms': called 'paramsLo' and 'paramsHi'
# - reduce the value of the i-th parameter in paramsLo with 'changeFraction'
# - increase the value of the i-th parameter in paramsHi with 'changeFraction'
# - solve the ODE model for both parameter sets (they are identical except for the i-th parameter)
# - get the values of the state after 'evalTime' time units and store the difference in 'stateDiff'
# - store the difference between the elevated and reduced parameter value in 'parmDiff'
for(i in sensiParms) {
# Create copies of parms
paramsLo <- parms
paramsHi <- parms
# Reduce/increase the value of the i-th parameter
paramsLo[i] <- (1 - changeFraction) * parms[i]
paramsHi[i] <- (1 + changeFraction) * parms[i]
# Solve the ODE model for both sets of parameters
states_lo <- ode(y = inits,
times = times,
parms = paramsLo,
func = RatesNUCOM,
method = method)
states_hi <- ode(y = inits,
times = times,
parms = paramsHi,
func = RatesNUCOM,
method = method)
# Retrieve the values of the state variable at evalTime time units
subsetLo <- subset(as.data.frame(states_lo), time %in% evalTime)[[stateName]]
subsetHi <- subset(as.data.frame(states_hi), time %in% evalTime)[[stateName]]
# Compute the differences and store in stateDiff
stateDiff[,i] <- subsetHi - subsetLo
# Store the difference between the elevated and reduced parameter value in the i-th element of parmDiff
parmDiff[i] <- paramsHi[i] - paramsLo[i]
}
# Add the value of the state variable given the (unchanged!) parameter values
states <- ode(y = inits,
times = times,
parms = parms,
func = RatesNUCOM,
method = method)
stateDiff[,stateName] <- subset(as.data.frame(states), time %in% evalTime)[[stateName]]
### Compute sensitivity indices
SI <- stateDiff # make copy of data.frame stateDiff
for(i in sensiParms) {
SI[,paste("SI_d",i,sep="_")] <- stateDiff[,i] / parmDiff[i] # add index as new column
}
We can now inspect the sensitivity index:
SI
## time BC1 NDEPCO SEEDC1 SEEDC2 SEEDN1 SEEDN2 NCONC1 NCONC2 GMAX1 GMAX2 MORT1 MORT2 DECAY1 DECAY2
## 1 150 32.99822 -12.50112 6.652722 -0.2327224 -0.03769049 -0.03926729 -337.8727 403.0377 43.85381 -6.612128 -477.1301 417.7125 -0.1598449 -0.1604021
## CCONMO NCONMO EFFMO SI_d_NDEPCO SI_d_SEEDC1 SI_d_SEEDC2 SI_d_SEEDN1 SI_d_SEEDN2 SI_d_NCONC1 SI_d_NCONC2 SI_d_GMAX1 SI_d_GMAX2 SI_d_MORT1
## 1 -0.1167409 0.1031849 0.1638643 -31.2528 3.326361 -0.1163612 -0.9422622 -0.9816823 -84468.17 100759.4 0.7308969 -0.03673404 -3976.084
## SI_d_MORT2 SI_d_DECAY1 SI_d_DECAY2 SI_d_CCONMO SI_d_NCONMO SI_d_EFFMO
## 1 2320.625 -7.992245 -2.673368 -1.167409 10.31849 4.096608
We can also calculate the elasticity indices, rounded to 5 digits and sorted on decreasing absolute value:
Es <- parms[sensiParms] / SI$BC1 * SI[,paste("SI_d",sensiParms,sep="_")]
Es <- as.numeric(Es)
names(Es) <- sensiParms
round(Es[order(abs(Es),decreasing=TRUE)],5)
## MORT1 MORT2 NCONC2 NCONC1 GMAX1 NDEPCO SEEDC1 GMAX2 SEEDC2 EFFMO DECAY2 DECAY1 CCONMO NCONMO SEEDN2
## -72.29634 63.29319 61.06962 -51.19560 6.64488 -1.89421 1.00804 -1.00189 -0.03526 0.02483 -0.02430 -0.02422 -0.01769 0.01563 -0.00595
## SEEDN1
## -0.00571
We could use a barplot to show the elasticities:
barplot(Es, col = 1:8, beside = TRUE)
legend(x="topright", horiz=FALSE, bty="n", legend=names(Es), pch=22, cex=0.7, col=1:8)

First, load the data from the file NUCOM.csv, omitting the first 2 rows (names, and units), after which we assign the names manually:
dat = read.csv("pathToFileFolder/NUCOM.csv", head=FALSE, sep=',', skip=2)
names(dat) <- c("time","BC1","BC2")
Explore the data by showing the header of the file:
head(dat)
## time BC1 BC2
## 1 10 131.29 72.774
## 2 28 315.35 96.660
## 3 53 650.20 104.250
## 4 117 785.26 231.940
## 5 167 680.69 339.630
## 6 208 581.41 443.450
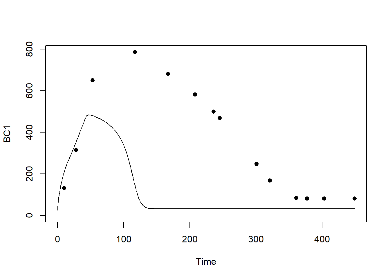
Let’s first simulate the model with default parameter values and these initial state value, and check how well the modelled predictions for “BC1” agree with the measured values for state “BC1”:
# Simulate with default parameter values
states <- ode(y = InitNUCOM(),
times = seq(from=0, to=max(dat$time), by=1),
parms = ParmsNUCOM(),
func = RatesNUCOM,
method = "ode45")
# Plot
plot(states[,"time"], states[,"BC1"], type="l", xlab="Time", ylab="BC1", ylim=c(0, max(dat$BC1)))
points(dat$time, dat$BC1, pch=16)

We see that the models does not faithfully represent the patterns observed in nature.
In order to calibrate the model, we first have to define a few
functions (predictionError, predRMSE,
transformParameters and calibrateParameters)
that allow us to do the calibration. These functions can be found in
template 6. Note that we do not have to fill something in here: we only
are defining these functions as is, and later when we
call (use) these functions we have to supply them with the
appropriate inputs.
First, function predictionError (copy from template
6):
# Define a function that computes prediction errors
# NOTE: nothing needs to be filled in here, so this function can be used as-is
# (unless there is a need to change it, e.g. change the solver method, or include events etc.)
predictionError <- function(p, # the parameters
y0, # the initial conditions
fn, # the function with rate equation(s)
name, # the name of the state parameter
obs_values, # the measured state values
obs_times, # the time-points of the measured state values
out_time = seq(from = 0, # times for the numerical integration
to = max(obs_times), # default: 0 - max(obs_times)
by = 1) # in steps of 1
) {
# Get out_time vector to retrieve predictions for (combining 'obs_times' and 'out_time')
out_time <- unique(sort(c(obs_times, out_time)))
# Solve the model to get the prediction
pred <- ode(y = y0,
times = out_time,
func = fn,
parms = p,
method = "ode45")
# NOTE: in case of a 'stiff' problem, method "ode45" might result in an error that the max nr of
# iterations is reached. Using method "rk4" (fixed timestep 4th order Runge-Kutta) might solve this.
# Get predictions for our specific state, at times t
pred_t <- subset(pred, time %in% obs_times, select = name)
# Compute errors, err: prediction - obs
err <- pred_t - obs_values
# Return
return(err)
}
Second, function predRMSE (copy from template 6):
# Define a function that computes the Root Mean Squared Error, RMSE
# NOTE: nothing needs to be filled in here, so this function can be used as-is
predRMSE <- function(...) { # NOTE: these ... are ellipsis, so DO NOT fill in something here!
# Get prediction errors
err <- predictionError(...) # NOTE: these ... are ellipsis, so DO NOT fill in something here!
# Compute the measure of model fit (here the Root Mean Squared Error)
RMSE <- sqrt(mean(err^2))
# Return the measure of model fit
return(RMSE)
}
Third, function transformParameters (copy from template
6):
# Define a function that allows for transformation and back-transformation
# NOTE: nothing needs to be filled in here, so this function can be used as-is
transformParameters <- function(parm, trans, rev = FALSE) {
# Check transformation vector
trans <- match.arg(trans, choices = c("none","logit","log"), several.ok = TRUE)
# Get transformation function per parameter
if(rev == TRUE) {
# Back-transform from real scope to parameter scope
transfun <- sapply(trans, switch,
"none" = mean,
"logit" = plogis,
"log" = exp)
}else {
# Transform from parameter scope to real scope
transfun <- sapply(trans, switch,
"none" = mean,
"logit" = qlogis,
"log" = log)
}
# Apply transformation function
y <- mapply(function(x, f){f(x)}, parm, transfun)
# Return
return(y)
}
And fourth, function calibrateParameters (copy from
template 6):
# Define a function that performs the calibration of specified parameters
# NOTE: nothing needs to be filled in here, so this function can be used as-is
calibrateParameters <- function(par, # parameters
init, # initial state values
fun, # function that returns the rates of change
stateCol, # name of the state variable
obs, # observed values of the state variable
t, # timepoints of the observed state values
calibrateWhich, # names of the parameters to calibrate
transformations, # transformation per calibration parameter
times = seq(from = 0, # times for the numerical integration
to = max(t), # default: 0 - max(t)
by = 1), # in steps of 1
... # NOTE: these ... are ellipsis, so DO NOT fill in something here!
# these are the optional extra arguments past on to optim()
) {
# check names of parameters that need calibration
calibrateWhich <- match.arg(calibrateWhich, choices = names(par), several.ok = TRUE)
# Create vector with transformations for all parameters (set to "none")
tranforms <- rep("none", length(par))
names(tranforms) <- names(par) # set the names of each transformation
# Overwrite the elements for parameters that need calibration
tranforms[calibrateWhich] <- transformations
# Transform parameters
par <- transformParameters(parm = par, trans = tranforms, rev = FALSE)
# Get parameters to be estimated
par_fit <- par[calibrateWhich]
# Specify the cost function: the function that will be optimized for the parameters to be estimated
costFunction <- function(parm_optim, parm_all,
init, fun, stateCol, obs, t,
times = t,
optimNames = calibrateWhich,
transf = tranforms,
... # NOTE: these ... are ellipsis, so DO NOT fill in something here!
) {
# Gather parameters (those that are and are not to be estimated)
par <- parm_all
par[optimNames] <- parm_optim[optimNames]
# Back-transform
par <- transformParameters(parm = par, trans = transf, rev = TRUE)
# Get RMSE
y <- predRMSE(p = par, y0 = init, fn = fun,
name = stateCol, obs_values = obs, obs_times = t,
out_time = times)
# Return
return(y)
}
# Fit using optim
fit <- optim(par = par_fit,
fn = costFunction,
parm_all = par,
init = init,
fun = fun,
stateCol = stateCol,
obs = obs,
t = t,
times = times,
...) # NOTE: these ... are ellipsis, so DO NOT fill in something here!
# These are the optional additional arguments passed on to optim()
# Gather parameters: all parameters updated with those that are estimated
y <- par
y[calibrateWhich] <- fit$par[calibrateWhich]
# Back-transform
y <- transformParameters(parm = y, trans = tranforms, rev = TRUE)
# put all (constant and estimated) parameters back in $par
fit$par <- y
# Add the calibrateWhich information
fit$calibrated <- calibrateWhich
# return 'fit'object:
return(fit)
}
After defining these 4 functions, we can get started with the actual calibration. For this we need to make some choices, e.g. which parameters to calibrate, and what are the transformations needed (no transformation, logarithmic transformation, or logit transformation, see explanation in template 6). Because all parameters in this model should be positive, let’s use a log-transform in the calibration routine.
Let’s calibrate only the parameters “NCONC1”,“GMAX1” and “MORT1” of
the mini-model, based on the dataset dat and the
measurements (and thus state) “BC1”. We only have to simulate to the
maximum time of our dataset dat (thus
max(dat$time)). Note that the calibration may take some
time (several seconds/minutes) to complete:
# Perform the calibration
fit <- calibrateParameters(par = ParmsNUCOM(),
init = InitNUCOM(),
fun = RatesNUCOM,
stateCol = "BC1",
obs = dat$BC1,
t = dat$time,
times = seq(from = 0, to = max(dat$time), by = 1),
calibrateWhich = c("NCONC1","GMAX1","MORT1"),
transformations = c("log","log","log"))
We can retrieve information on the model fitting by looking at the
object fit:
fit
## $par
## NDEPCO SEEDC1 SEEDC2 SEEDN1 SEEDN2 NCONC1 NCONC2 GMAX1 GMAX2 MORT1 MORT2 DECAY1
## 2.00000000 10.00000000 10.00000000 0.20000000 0.20000000 0.03634621 0.02000000 291.91637389 900.00000000 0.37558418 0.90000000 0.10000000
## DECAY2 CCONMO NCONMO EFFMO
## 0.30000000 0.50000000 0.05000000 0.20000000
##
## $value
## [1] 47.41233
##
## $counts
## function gradient
## 218 NA
##
## $convergence
## [1] 0
##
## $message
## NULL
##
## $calibrated
## [1] "NCONC1" "GMAX1" "MORT1"
Explanation of these outputs are given in the optimization function explanation of Template 6:
optim function needed;optim function: a value of 0 means that the estimation
successfully converged! For other values, see ?optim for
the help-documentation of the optim function;NULL;calibrateWhich).Then, we can use the fitted/calibrated model parameters (object
fit$par) to simulate the model, and plot the result:
# Fit the model using the calibrated values
statesFitted <- ode(y = InitNUCOM(),
times = seq(from = 0, to = max(dat$time), by = 1),
parms = fit$par,
func = RatesNUCOM,
method = "ode45")
plot(statesFitted)

Also, we can plot the modelled pattern of state “BC1” as function of time, including the measured values of “BC1”:
plot(statesFitted[,"time"], statesFitted[,"BC1"], type = "l", xlab = "Time", ylab = "BC1")
points(dat$time, dat$BC1, pch = 16)

The calibrated model seems to capture the observed pattern quite well! In order to quantify the difference between the calibrated model and the model solved with default parameter values, let’s compute the RMSE for both models:
predRMSE(p = ParmsNUCOM(),
y0 = InitNUCOM(),
fn = RatesNUCOM,
name = "BC1",
obs_values = dat$BC1,
obs_times = dat$time,
out_time = seq(from = 0, to = max(dat$time), by = 1))
## [1] 343.1205
predRMSE(p = fit$par,
y0 = InitNUCOM(),
fn = RatesNUCOM,
name = "BC1",
obs_values = dat$BC1,
obs_times = dat$time,
out_time = seq(from = 0, to = max(dat$time), by = 1))
## [1] 47.41233
We that the calibrated model has a RMSE that is much, much lower than that with the default parameters, thus: via calibration we have improved model fit massively!